Sept. 06, 202220 Min Read
Timing 101 #6: The Case of the Spurious Phase Noise Part I
Author: Kevin G. Smith
Introduction
Hello and welcome to another edition of the Timing 101 blog. It’s a new year and time for a new post!
In this month’s article, I will discuss spurs in clock phase noise measurements. Most everyone in timing will recognize spurs as the distinctive spikes in the phase noise plot below. They are generally undesired and in the frequency synthesis business low level spurs are not uncommon. They are the foam on the beer as it were. This particular plot comes from an AWG or Arbitrary Waveform Generator configured for 100 MHz sinusoidal output with 1 MHz FM. I will be using this plot or similar versions of this data throughout this article.

What is not always appreciated is their relative significance and how they should be displayed and accounted for in applications and troubleshooting. They can also be generated for device and system evaluation and characterization.
In this first post, The Case of the Spurious Phase Noise Part I, I will briefly review spurs and their distinctive characteristics. Next I will discuss how to account for them when calculating total RMS phase jitter. Finally, I will sum up with my assessment of the relative merits of the three approaches to displaying spurs (or not) in phase noise plots. Looking ahead to Part II next time I will discuss the usefulness of generating spurs on purpose for evaluation and testing.
What are spurs?
The technical term spur is short for spurious which comes from the Latin spurius meaning illegitimate or false. See for example the entry at Spurious - Oxford Reference. There is another more general use of the word spur which refers to a spike or protuberance as in cowboy spurs and the San Antonio Spurs. Coincidentally, both meanings are somewhat fitting in this context.
Here spurs are carrier or clock frequency spectral imperfections measured in the frequency domain just like phase noise. However, unlike phase noise they are discrete frequency components. This gives these features several particular and interesting characteristics:
(1) Spurs are deterministic.
(2) Spur power is independent of bandwidth.
(3) Spurs contribute bounded peak jitter in the time domain.
Let me expand a little bit on each of these characteristics in turn.
Spurs are deterministic
Spurs are generally undesirable and to be distinguished from the harmonics needed to constitute a square wave or trapezoidal wave clock. Their specific frequencies can aid us in determining their origins and relative importance. For example, they can be caused by systemic sources such as board power supply noise, crosstalk, mixing, modulation, PLL architecture, and power line harmonics.
PLLs effectively sample the input clock, usually through a PFD (Phase Frequency Detector), and therefore must suppress update rate spurs. Further, PLLs that synthesize fractional output frequencies typically yield spurs due to fractional division.
Spur power is independent of bandwidth
This is true for discrete frequency components generally and can be observed directly on a spectrum analyzer. By contrast non-deterministic noise power is proportional to bandwidth. Consider the 2 side-by-side plots below displaying a 100 MHz sinusoidal carrier with +/- 100 kHz FM sidebands acting as spurs. The traces were averaged over 5 runs and the span was set to 300 kHz. The only difference between the 2 plots is the RBW or Resolution Band Width.
In the left hand side plot the RBW = 6.25 kHz. In the right hand side plot the RBW = 291 Hz. You can see by the red line annotations that the peaks remain essentially the same magnitude while the noise level dropped going left to right. I “eyeballed” the noise to be about a 10 dB delta between the plots. We expect the noise to decrease narrowing the RBW from 6.25 kHz to 291 Hz by 10*log10(6.25 kHz/291 Hz) = 10*log10(16) = 12 dB which is reasonably close in this case. Note that the discrete frequency components get narrower also.
Spurs contribute bounded peak jitter in the time domain.
Each spur can be regarded as a phase modulation sideband to the carrier whose amplitude determines the peak phase deviation contribution. This useful feature can be exploited in testing and I will discuss this topic in the next post. By contrast, peak phase deviation is unbounded for random phase noise.
Accounting for Spurs
Phase noise in a phase noise plot is a power spectral density measurement displayed on a per Hertz basis, i.e. in units of dBc/Hz, and then integrated over a jitter bandwidth to yield an RMS phase jitter quantity. The units make sense since [dBc/Hz] x [Hz] = [dBc], a measure of the RMS phase jitter power with respect to the carrier. Statistical methods then have to be used to estimate the peak phase jitter over that same bandwidth. (Phase noise instruments do not actually measure the phase noise in 1 Hz increments but use a larger RBW depending on the offset frequency range.)
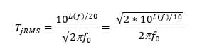
The RMS jitter contribution for each spur can be calculated as follows. (See for example Skyworks app note AN256: Integrated Phase Noise.)

L(f) here is taken to be the spur power in dBc at offset frequency f 0 for carrier frequency f0. The proper way to account for spurs when calculating RMS jitter for both phase noise + spurs is to add each spur’s individual jitter power contribution in RSS (Root Sum Square) with the RMS phase jitter due to noise only.
We can demonstrate this with an example.
The left-hand plot below is a phase noise plot for the example nominal 100 MHz clock with spurs omitted. The right-hand plot is the same phase noise plot but with spurs identified and explicitly displayed in dBc. For this instrument, spurs in dBc are displayed in a different color than the phase noise. In the first case the RMS phase jitter measured between 12 kHz to 20 MHz was calculated as 668.837 fs. In the second case, the RMS phase jitter measured was recorded as 878.156 fs. This is an increase of about 209 fs or about a 31 % increase.

An interesting question is how spurs are identified in phase noise test equipment. This particular instrument defines a threshold in terms of how much higher a peak has to be than the standard deviation of the noise based on a moving average. The default spurious sensibility setting is 3 x σ which has proven to be a good practical value.
To see why the spurs contributed this much additional jitter, note that there are 3 spurs shown in band, i.e. between 12 kHz and 20 MHz offset. In the table below I list the 3 spurs together with their individual RMS jitter contributions as calculated per the cited formula. The 1 MHz spur due to FM dominates. (The spur offset frequency location and amplitude came directly from the instrument’s spur list.)
|
|
|
Calc JRMS
|
|
#
|
Spur f (Hz)
|
P (dBc)
|
(sec)
|
(fs)
|
|
1
|
0.180225
|
-85.926
|
1.14E-13
|
113.772
|
|
2
|
1.00E+06
|
-72.1484
|
5.56E-13
|
555.796
|
|
3
|
2.01E+06
|
-94.2163
|
4.38E-14
|
43.805
|
Now, let’s RSS all these values together:
Total RMS Phase Jitter (fs) = SQRT{(JRMS_PN_ONLY)^2 + (JRMS_SPUR1)^2 + (JRMS_SPUR2)^2 + (JRMS_SPUR3)^2)}
= SQRT {(668.837)^2 + (113.772)^2 + (555.796)^2 + (43.805)^2)}
= SQRT {4.47E+05 + 1.29E+04 + 3.09E+05 + 1.92E+03}
= SQRT {7.71E+05}
= 878.132 fs.
This is very close to the 878.156 fs reported by the instrument. You can go through a similar exercise, entering spurious data separately, using our online Phase Noise to Jitter Calculator.
Displaying Spurs
You may have noticed that the very first phase noise plot had spikes that looked different (shorter) than the plot with spurs in dBc above. Let's put the two figures together side-by-side. You can see now that the left-hand side plot has the spurs in the same color as the phase noise. The spurs in the left-hand plot are depicted in units of dBc/Hz. That is the instrument scales the spur down by normalizing them with respect to the RBW as follows:
Spur peak [dBc/Hz] = Spur amplitude [dBc] – 10*log10 (RBW)
In most instruments the RBW will vary from Hz to MHz, depending on the offset frequency range, usually on the order of 10% down to 1% of the offset frequency. The instrument may or may not explicitly provide the RBW. However, we can always deduce it.
You will recall the largest spur at 1 MHz was displayed as -72 dBc in the right-hand plot. In the left-hand plot the same spur is depicted roughly speaking as a skinny triangle with the peak measuring about -117.5 dBc/Hz and a base that now extends slightly below and above 1 MHz offset. So we can calculate the RBW at 1 MHz offset as follows:
10 log10 (RBW) = Spur amplitude [dBc] – max(Spur amplitude [dBc/Hz])
= -72 [dBc] - (-117.5 [dB])
= -72 [dBc] + 117.5 [dB]
= 45.5 dB
=>
RBW = 10^(45.5/10)
≈ 35 kHz
You may wonder why the "spurs in dBc/Hz" view is useful. If all you care about is the impact of the RMS phase noise then this view helps puts things in proper perspective versus the non-spurious phase noise. In some cases, sales and field applications engineers may regard the right-hand style plot as unduly alarming though they contain approximately equivalent information.
On the other hand, the right-hand style plot is more accurate and more useful for troubleshooting. Note that in this particular example, going left to right, the calculated RMS jitter differs increasing from 809.574 fs versus 878.156 fs respectively for an increase of about 8%. Further, it is very useful to know the dBc value of the spur directly without being concerned about the instrument's RBW at a particular offset frequency.
The table below summarizes my assessment of the relative merits of the three approaches to displaying spurs. Your mileage may vary.
|
Spurs View
|
Advantages
|
Disadvantages
|
|
Omitted
|
• Less cluttered so best for “big picture”
• Useful in troubleshooting
|
• Inaccurate if spurs are significant
|
|
Normalized
[dBc/Hz]
|
• Good compromise for low phase jitter applications, e.g. SONET/SDH, SyncE
|
• Insufficient for low spur applications, e.g. ADCs, DACs, Wireless
|
|
Power [dBc]
|
• Most accurate and informative
• Best for troubleshooting
|
• May obscure the big picture
• Possibly misleading if spurs are insignificant
|
Conclusion
This month I’ve discussed spurs in phase noise measurements. I hope you have enjoyed this Timing 101 article. This is only a brief introduction as entire books could be written just on this topic. I will return to this subject in The Case of the Spurious Phase Noise Part II next time to discuss generating and using spurs for testing.
As always, if you have topic suggestions, or there are questions you would like answered, appropriate for this blog, please send them to kevin.smith@skyworksinc.com with the words Timing 101 in the subject line. I will give them consideration and see if I can fit them in. Thanks for reading. Keep calm and clock on.
Cheers,
Kevin
[Note: Note: This blog article was originally posted online in January 2018. It has been lightly edited, and updated to reflect Skyworks Solutions’ acquisition of Silicon Labs’ Infrastructure and Automotive business, completed on July 26, 2021. The Timing 101 series continued for 12 articles and was superseded by the Timing 201 series.]
By Kevin G. Smith
Sr. Principal Applications Engineer